Index nazwisk

A B C D E F G H I J K L Ł M N O P Q R S Ś T U V W X Y Z

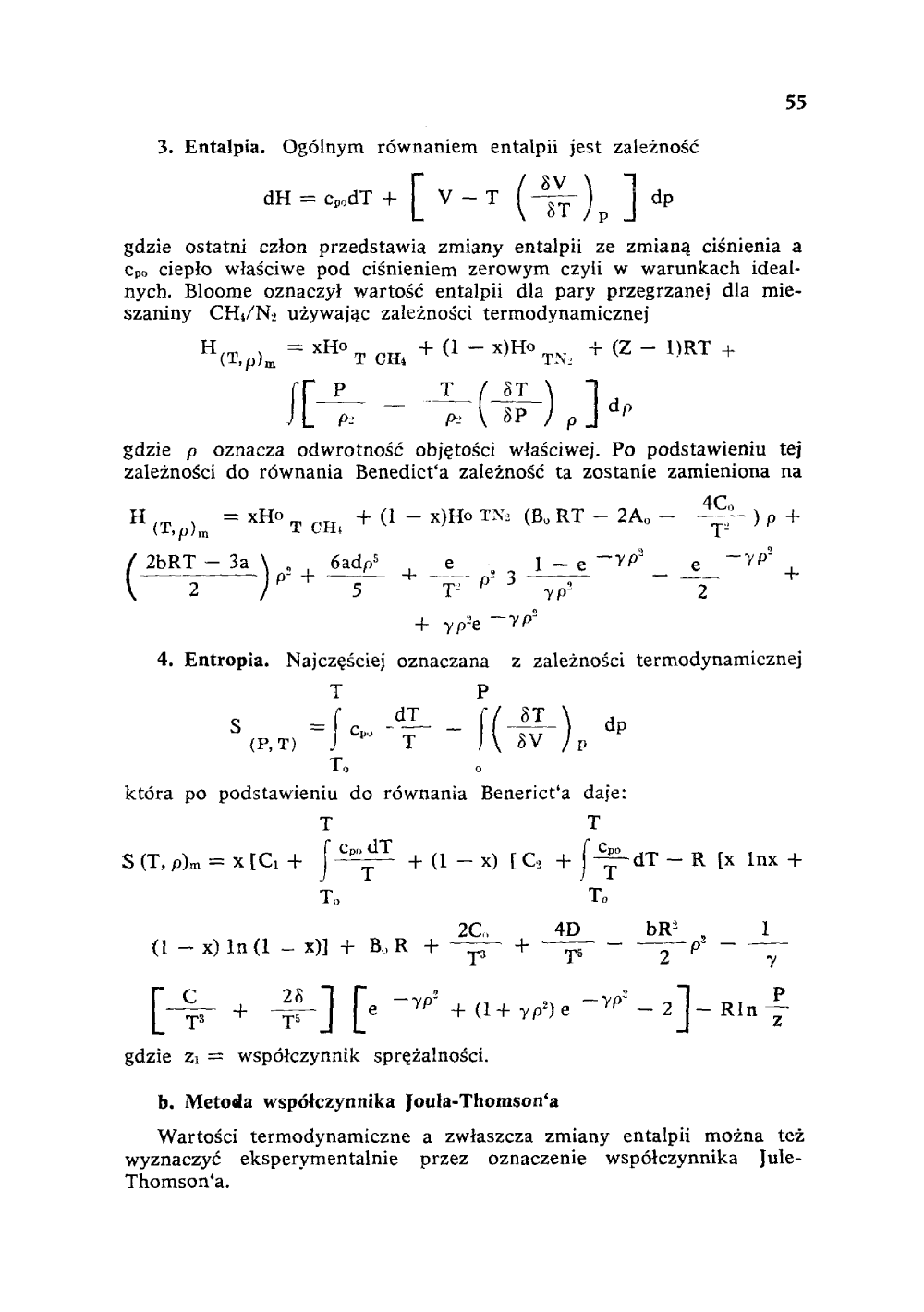
NAZWISKO
STRONA(Y)
Babbage
.215
Babbitt H.E.
.985 .999
Babcock H.N.
Babiński Aleksander
Babiński Grzegorz
Babiński Henryk
Baca S.
Bachall John
Bachman Bolesław
.169
Bachmetew
Bacon Francis
Baczyński Krzysztof Kamil
Baczyński W.
Badger W.L.
.268
Bagieński Jan
Bahn
Bahr Jerzy
Bailey Alan
Bailey W.
Bailie J.A.H.
.506
Bajan Jerzy
Bajer A.
.230
Bąk Adam
Bąk Ryszard
Bąkała E.
Baker
.186
Bakhmeteff B.A.
.991
Bąkowski Franciszek
Balcerowicz Leszek
Balcerski Wacław
Balke
.156
Ballar M.J.
Baltazar, król
Banach
.762
Banach Łucja
Banach Michael
Banach Stefan
Banachiewicz Tadeusz
Banasz J.
Bander van Duren Peter
Bany K.
Baranowki Jan Józef
Baranowska Janina
Baranowski
.163
Baranowski Jan
Baranowski Jan Józef
Baranowski Paweł
Barbacci Alfredo
Barcikowski J.
Barcinkowski, inż.
Barczinski Bernhold
Barczinski Samuel
Bardhan-Roy B.K.
Barila T.G.
Barnaby F.
Barnard Christian
Barnothym J.
Barrett J.D.
Barrows G.H.
Barry P.S.I.
Bartel
.770
Bartel Kazimierz
Bartkiewicz Antoni
Bartkowiak D.
Bartkowicz Stanisław
.169 .170
Bartkowski Adam
Bartkowski J.
Bartkowski M.
.480
Bartlett D.L.
.974
Bartmański Tomasz Franciszek
Bartosik Marek
Bartoszewicz Kazimierz
Bartoszewski Kazimierz
Bartoszewski Tadeusz
Bartoszewski Władysław
Bartwiański Franciszek Tomasz
Bartwiński Franciszek
Barucki
.563
Barucki Tadeusz
Bashforth
.885
Basow N.G.
Bastyr W.
Bastyr W.
.480
Bataille E.M.
Batkowski Marian Antoni
Batory Stefan
Batuta Ibn
.447
Baudouin de Courtenay Jędrzejewiczowa Cezaria
Baverstock K.
Baynes Horace
Bays G.S.
.268
Bazin D.
Bazovski I.
Beadoin
.679
Beck William S.
.354 .364
Becker N.K.
Becla Anna
Becla Ewa
Bednarski Adam
Bednarski Aleksander
Bedyński Marek
Beesley M.J.
Beet E.A.
Beggs
.338
Behnke J.
Bein Jakob
Bekker Mieczysław G.
Belbo W.
Belidor
.547
Belka Marek
Belkin H.H.
.884
Bell Charles
.216
Bell David Arthur
.359 .364
Bell G.
.884
Bell J.D.
Bell Krystyna
Bellman R.
.930 .935
Bellotti Józef Szymon
Belluschi Pietro
.678 .680
Bełch S.
Bełdowski prof.
Bełkowski J.
Bełżecki Stanisław
Bem Józef, gen.
Benardos Mikołaj
Benda Anton
Benda Gabriel
Benedicks C.
.5 .7 .14
Benedict
.154 .155 .157 .159
Benes V.E.
Beniowski Bartłomiej
Benjamin B.S.
Benjamin T.B.
.884
Bentowski Karol
Berberyusz E.
Berczyński Wacław
Berens Mikołaj
Bereśniewicz Zygmunt Jan
Bergelin O.P.
.268 .883
Bergheim J.S.
Bergson
Bergson Henryk
.361 .362 .365
Berkieta Stanisław
Berlage
Bernacki Ludwik
Bernatek Józef S.
Bernini
.550
Bernoda Bertha
Bernoulli
.981 .989
Bernoulli Daniel
Bernoulli Jakub
Bernoulli Johan
.547
Berry
.713
Bertrand
Bessemer Henry
Best A.C.
.13 .14
Bętkowski Karol
Bevan E.V.
.991
Beyer G.H.
.442
Bezdek S.F.
Bhabha Homi Jehangir
.226
Bhattacharya A.K.
Bialous Helena
Białecka Monika
Białkowski
Białobrzeski Czesław
Białous Helena
Bibby Bob
Bielaski Aleksander
Bielawski Edmund
Bielawski Kazimierz
Bielecki C.J.
.278
Bielecki Jan Krzysztof
Bielecki Jędrzej
Bielecki R.
Bielski Marek
Bielski Piotr
Biendugowski Piotr
Bienert
.160 .162
Bieńkowska Elżbieta
Bieńkowski
Bieńkowski Mieczysław
Bieńkowski Piotr
Bieńkowski W.Z.
Biernacki Wiktor
Biesiekierski
Billik M.
Billington
.717
Bilski J.K.
Binerowski Zdzisław
Binkiewicz J.
Binkiewicz Lucjan
Binnic A.M.
.884
Birch J.
.413 .447 .856
Birch Tadeusz Jan
.750
Birn Serge
Bishop A.W.
.432
Bistram Jerzy
Bitner A.
Black John
Black W.P.M.
.432
Blackwell David
Bladen H.F.
Blair T.
Blanc P.
.500 .501 .502 .503 .507
Blasius z Parmy
.535
Blatiak A.
Blatiak M.
Bleicher Michał
Blench
Bleriot
Blida Barbara
Blittkowski Gustaw Adolf
Blitzner
.505
Bloch Leonce R.
Bloomer O.
.154 .155 .156 .157 .158 .159
Blue Archie
Blum, kpt.
Blumcke A.
.145 .159
Blumenthal R.M.
Blumrich Józef F.
Błażewski Antoni
Błażynski Tadeusz
Bnessler R.
.268
Bobrański Bogusław
Bobrownicki Aleksander
Bobrowska, hr.
Bobrowski Aleksander F.
Bobrowski K.F.
Bobrowski-Evans Izabella
Bodansky D.
Bodziony Jakub
Bogacki Konrad
Bogdanov S.M.
Bogdanowicz S.
Bogdanowicz Witold M.
Bogdanowicz Zenon
Bogdańska Renata
Bogdańska-Anders Irena
Bogucka Zofia
Bogucka-Skowrońska
Bogucki Henryk
Bogucki Jerzy
Bogucki Stanisław
Bogucki Władysław
.407
Boguski Jerzy
Boguski Józef
Bogusławski
Bogusławski Adam
Bogusławski Antoni
.613
Bogusławski Jan
Bogusławski Lech
.169 .170
Bogusz Jerzy
Bogusz-Szyszko Marian
Bohdanowicz Karol
Bohr Niels
Bohusz-Szyszko Zygmunt
Bojemski Aleksander
Bokszczanin Janusz
Bolewski Andrzej
Bolkiewicz K.
Bonaparte Napoleon
Bondi Hermann
Bonifacy VII, papież
Bonneviale P.
Boole George
Bora Wieńczysław
Borawska Krystyna
Borcz
.161
Borejko Aleksander
Borejko Jan
Borejko Michał
Borkowski Andrzej
Borkowski Jacek
Borkowski Wojciech
Born J.
Born M.
Bornet Mieczysław
Boroch
.161
Borowiak M.
Borowicz W.
Borowski J.
Borowski L.
Borsuk Karol
Bortnik Tomasz
Boruc Mirosław A.
Borucka A.Z.
.406 .854 .959
Borusewicz Bogdan
Borusewicz Mieczysław
Borysewicz Leszek
Borysiuk E.
Borzęcki Marek
Boscowich
.538
Bottoni
.681
Bourke Vernon J.
.131
Bourne A.
Boussinesq
.422
Bowman R.L.
Boy-Żeleński Tadeusz
Boyle S. T.
Bradley P.J.
.884
Brahe Tycho
Braine C.D.C.
.984 .985 .991
Brajter Ludwik
.170
Brambley M.
Bratbak Bjorn
Bratkowski
Bratkowski Adam
Bratkowski Władysław
Bratro Emil
Brauer H.
.259 .264 .268 .883 .884
Braun
.14 .162 .2715
Braun Kazimierz
Braun-Kris Sylwester
Braunseis Marian
Brazis Romuald
Brecher G.A.
Bregman Aleksander
Brenner
.707
Brest A.N.
Breuer Marcel
.679 .680
Brewer A.W.
.13 .14
Breza Eugeniusz Ryszard
Breżniew
Briand
.235
Bricard J.
.5 .8 .14
Brich-Brzeziński J.
Bridgman P.W.
.358 .365
Briggs H.W.
Briggs L.J.
Brindley James
Brinkmann Donald
.362 .365
Brisch Edward
Brittan Leon
Brochocki Tomasz
Broda Andrzej
.168
Brodnicki B.
.959
Brodowicz K.
Brodowski Aleksander
Brodowski Tom V.
Brodowski Tomasz
Brodzka Krystyna
Broetz W.
.268
Brojer Z.
Bromke Wacław
Bronic-Czerechowski Włodzimierz
Broniewski Witold
Bronikowski Mieczysław
Brook Ken
Brooker Bożenna
Bros Emil
Bross W.
.230
Broszko
Broszko Michał
Brotkowski Adam
Brown
.377 .378 .379 .380 .381
Brown J.J.
.360 .365
Brown P.
Brown Samuel
Bruce F.M.
.644
Bruchalski Henryk
Brückner
Bruckshaw J.
Brukalska Barbara
Brukalski Stanisław
Brükner
.123
Brun E.
.15
Brunel
.185 .186
Brutkowski Cyprian
Bryden-Smith D.W.
Bryliński E.
Bryła Stefan
Brzeska Ewa
Brzeski Edward
.233 .234 .235 .282 .856
Brzeski Tadeusz
Brzeziński Dariusz
Brzeziński J.R.
Brzeziński Jan
Brzeziński Zbigniew
Brzostkowski Karol
Brzozowski A.M.
.406
Brzozowski Karol
Brzozowski Stanisław
Brzozowski W.
Buber Martin
Buchanan, prof.
Buchta Anna
Buchta Jacek
Buck David
Buckhardt Jean Louis
Buckhingham
.890
Buckminster Fuller
.287 .327
Buczyński L.
Budionn
Budny Eugeniusz
Budrewicz Olgierd
Budzanowski Edward
Budzianowski Józef
Budziński B.
Bugaj Igor
Bujnowski Józef
Bukowski Jerzy
Bulik Michał
Bumbul Joanna
Buratyni Tytus-Livius
Burgee J.
Burkhardt L.C.
.120
Burlington R.S.
Burnat Leon
.167
Burzyński Włodzimierz
Burzyński Zbigniew
Bush George
Bush R.R.
.76 .86
Butler Danuta
Butrym Zofia
Butt E.P.
.120
Buzan Mieczysław
Buzek Jerzy
Bydygier J.
Byman L.
.442
Bystrzanowski Tadeusz
Bzowska Katarzyna
Bzowska-Budd Katarzyna
bieżąca prawa strona

Bieżąca strona:

157